+12º
небольшая облачность
ветер 3,6 м/с, ЮЗ

Реклама: ООО "ОЛЕАНДР-МЕД", ИНН 9111026025

Реклама: ИП Бехтер А.А., ИНН 911113102616

Реклама: ИНН 910806164654 - ИП Лукьянова А.А.

Реклама: ООО «НПП «Вентос-Крым» ИНН 9111011396 

Реклама: Самозанятый Вандышев Александр Николаевич, ИНН 911113162887

Реклама: ООО "Похоронный дом "Феникс", ИНН 9111027526

Реклама: ИП Кравченко Е. Л., ИНН 911109375963

Реклама: ИП Бережной А.Г., ИНН 911116150093

Реклама: ООО "ПРАЙМЕР", ИНН 9102054851

Архив
«    Июль 2019    »
ПнВтСрЧтПтСбВс
1234567
891011121314
15161718192021
22232425262728
293031 

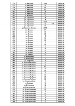
Керчанам сообщают еще один график выездов по проведению кадастровых работ

18.07.2019 10:35 4 643 Новости » Общество

Администрация города Керчи сообщает второй график выездов по проведению кадастровых работ.  Об этом сообщает администрация Керчи, - передает Керчь.ФМ.

Выезды пройдут с 29 июля.

 

С графиком выезда до 29 июля можно ознакомиться здесь.

0 голосов
Служба новостей Керчь.ФМ

Если вы увидели опечатку в тексте самой статьи, то выделите её и нажмите Ctrl+Enter.

Добавить комментарий
Информация
Комментировать статьи на сайте возможно только в течении 10 дней со дня публикации.

Реклама на ФМ

Реклама: ООО "АКР", ИНН 9111029178

Реклама: ИП Батурина-Казбанова Виктория Геннадьевна, ИНН 910510158934

Реклама: ИП Добрынин Д.В., ИНН 911109540871

Реклама: ИП Люшняк Р. А., ИНН 911100108113

Магазин «AUTOРАЙ» в Керчи!

Реклама: ИП Аникин Д.А., ИНН 911108952720

Реклама: ООО «ММГ Скейтинг», ИНН 7718552410

Реклама: ИП Кучеренко Э.В., ИНН 911100186665

Реклама: ООО «Зимний Сад» , ИНН 9111004342

Реклама: Гераскевич Галина Валерьевна , ИНН 911104425868

Реклама: ИП Гришин И.И., ИНН 911107214600

Реклама: ИП Бережной А.Г., ИНН 911116150093

Реклама: Оценщик Ляхнова Е. И., ИНН 911110909930

Реклама: ИП Цинтынь Е. В. , ИНН 911100113579

Юридические услуги в Керчи. Громада София Валерьевна

Реклама: Юрист Громада С. В., ИНН 110204076670

Фабрика натяжных потолков «Виктория»

Реклама: ИП Бережной А.Г., ИНН 911116150093

Наверх